8 листопада 2023 року Верховна Рада України ухвалила Закон України «Про внесення змін до розділу VI Бюджетного кодексу України щодо забезпечення підтримки обороноздатності держави та розвитку оборонно-промислового комплексу України». 19 листопада зазначений Закон набув чинності (Офіційне опублікування: Голос України - 18.11.2023 №232 (43), Урядовий кур'єр-22.11.2023 №234). Порядок набрання чинності з дня, наступного за днем опублікування.
Задля збільшення спроможності органів місцевого самоврядування у сфері управління місцевим боргом, експерт шведсько-українського проекту «Підтримка децентралізації в Україні» (SALAR International) Ігор Онищук підготував рекомендації щодо здійснення місцевих запозичень та надання місцевих гарантій.
Відносини, що виникають у процесі складання, розгляду, затвердження, виконання бюджетів, звітування про їх виконання та контролю за дотриманням бюджетного законодавства, а також питання відповідальності за порушення бюджетного законодавства, регулюються Бюджетним кодексом України (далі Кодекс) та нормативно-правовими актами, прийнятими на його виконання.
Питання здійснення місцевих запозичень регулюється Кодексом і Порядком здійснення місцевих запозичень, затвердженим постановою Кабінету Міністрів України від 16 лютого 2011 року № 110 (далі - Порядок №110).
Відповідно до прийнятих 08.11.2023 року змін, обласні, міські, селищні та сільські ради отримали право здійснювати місцеві внутрішні запозичення (за винятком випадків, передбачених статтею 73 Кодексу) та місцеві зовнішні запозичення. Право на здійснення місцевих запозичень у межах, визначених рішенням про місцевий бюджет, з урахуванням статті 74 Кодексу, належить обласній раді, міській, селищній, сільській територіальній громаді в особі керівника місцевого фінансового органу за дорученням обласної, міської, селищної, сільської ради (ч.3 ст.16 Кодексу).
Місцеві запозичення та надходження від надання місцевих гарантій є джерелами формування спеціального фонду у частині фінансування.
Відповідно до пункту 6 Порядку №110, обсяг та умови здійснення запозичення (реструктуризації боргових зобов'язань) погоджуються Мінфіном. Для отримання погодження, місцева рада надсилає Мінфіну повідомлення у паперовій або електронній формі з використанням кваліфікованого електронного підпису відповідно до Законів України «Про електронні документи та електронний документообіг» і «Про електронні довірчі послуги», до якого додає такі належним чином оформлені документи:
1) завірені в установленому порядку копії:
2) проект рішення про запозичення (реструктуризацію боргових зобов'язань), який в обов'язковому порядку має містити відомості про:
3) розрахунки і обґрунтування здійснення запозичення з урахуванням вимог частини третьої статті 18 та статті 74 Бюджетного кодексу України (за формою, затвердженою Мінфіном);
4) інформацію про поточний стан виконання зобов'язань з погашення місцевого боргу, про стан розрахунків за місцевим боргом за п'ять років, що передують року, в якому приймається зазначене рішення, а також про зобов'язання, виконання яких забезпечено гарантією місцевої ради, та стан розрахунків за ними (за формою, затвердженою Мінфіном);
5) розрахунок середньорічного обсягу доходів загального фонду місцевого бюджету, які надійшли за три попередніх бюджетних періоди, що передують прийняттю рішення місцевої ради про здійснення місцевого запозичення, без урахування доходів, визначених пунктами 1 і 11 частини першої статті 64, пунктом 1 частини першої статті 66 Бюджетного кодексу України, та міжбюджетних трансфертів (за формою, затвердженою Мінфіном);
6) за умови здійснення запозичення шляхом емісії облігацій внутрішніх місцевих позик - проект рішення про емісію облігацій та проспект емісії облігацій (в разі його оформлення), відомості про рейтингову оцінку облігацій, яка визначається уповноваженими НКЦПФР рейтинговими агентствами або визнаними нею міжнародними рейтинговими агентствами;
7) у разі здійснення запозичення шляхом отримання позики - засвідчену копію листа-пропозиції фінансової установи, яка надає позику.
Зміна істотних умов (виду, розміру, валюти, строків, відсотків за користування запозиченням та строків їх сплати, розміру основної суми боргу) місцевого запозичення підлягає погодженню у порядку, визначеному для погодження обсягу та умов місцевого запозичення. Інші умови кредитного договору не є істотними.
Надсилання до Мінфіну документів у паперовій формі здійснюється разом з електронним носієм інформації, на якому записано файли цих документів у форматі PDF та/або Microsoft Excel. Також можливе надсилання до Мінфіну документів, передбачених цим пунктом, в електронній формі у форматі PDF та/або Microsoft Excel.
У разі здійснення кількох запозичень за кожним запозиченням подається окреме письмове повідомлення із додаванням усіх зазначених документів.
За наявності підстав для вмотивованої відмови Мінфіну місцева рада протягом 15 календарних днів усуває недоліки відповідно до зауважень Мінфіну та коригує у разі потреби обсяг зобов'язань за запозиченнями, які виражені в іноземній валюті.
Мінфін розглядає відповідні документи протягом місяця з дати їх отримання.
У разі неотримання відповіді у встановлений строк подане заявником повідомлення про погодження обсягу та умов здійснення запозичення (реструктуризації боргових зобов'язань) залишається без розгляду.
Обсяг та умови здійснення місцевих зовнішніх запозичень шляхом отримання кредитів (позик) від міжнародних фінансових організацій вважаються погодженими, якщо Мінфіном рішення не прийнято протягом одного місяця з дня надходження документів на погодження.
Згідно з пунктом 7 Порядку, щодо запозичень фахівці Мінфіну мають право одержувати в установленому порядку додаткову інформацію, необхідну для прийняття рішення про погодження обсягу та умов запозичення (зміни істотних умов).
Місцеві запозичення здійснюються, зокрема, з метою фінансування бюджету розвитку бюджетів міських, селищних, сільських територіальних громад та використовуються для створення, приросту чи оновлення стратегічних об’єктів довготривалого користування або об’єктів, що забезпечують виконання завдань міських, селищних, сільських рад, спрямованих на задоволення інтересів населення територіальних громад.
Бюджет розвитку місцевих бюджетів є складовою частиною спеціального фонду місцевих бюджетів.
Капітальні видатки бюджету розвитку спрямовуються на: соціально-економічний розвиток регіонів; виконання інвестиційний проект; будівництво, капітальний ремонт та реконструкцію об'єктів соціально-культурної сфери і житлово-комунального господарства; будівництво газопроводів і газифікацію населених пунктів; будівництво і придбання житла окремим категоріям громадян відповідно до законодавства; збереження та розвиток історико-культурних місць України та заповідників; будівництво та розвиток мережі метрополітенів; придбання вагонів для комунального електротранспорту; розвиток дорожнього господарства; придбання шкільних автобусів та автомобілів швидкої медичної допомоги; оновлення матеріально-технічної бази комунальних закладів охорони здоров'я, комп'ютеризацію та інформатизацію закладів загальної середньої освіти і комунальних закладів охорони здоров'я; природоохоронні заходи; інші заходи, пов'язані з розширеним відтворенням.
Відповідно до статті 103-1 Кодексу, субвенція з Державного бюджету України місцевим бюджетам на фінансування будівництва, реконструкції, ремонту й утримання автомобільних доріг загального користування місцевого значення може використовуватися на погашення та обслуговування місцевого боргу за місцевими внутрішніми та зовнішніми запозиченнями, залученими для виконання ремонтно-будівельних робіт на автомобільних дорогах загального користування місцевого значення та комунальної власності, у розмірі не більше 30 відсотків обсягу такої субвенції.
Обласним радам під час здійснення місцевих зовнішніх і внутрішніх запозичень рекомендовано враховувати, що відповідно до статей 140, 142 Конституції України обласні ради є органами місцевого самоврядування, що представляють спільні інтереси територіальних громад сіл, селищ та міст, в управлінні яких перебувають об'єкти спільної власності таких громад.
Рішення щодо здійснення місцевих зовнішніх запозичень та надання місцевих гарантій відповідно до вимог, встановлених частиною першою статті 26 та частиною третьою статті 43 Закону України «Про місцеве самоврядування в Україні», приймається виключно на пленарних засіданнях обласних і місцевих рад.
Для підготовки проекту рішення про запозичення рекомендується використовувати типові форми документів/бланків згідно з додатками 2, 3 до Методичних рекомендацій Мінфіну (додаються).
Відповідно до частини третьої статті 18 Кодексу, загальний обсяг місцевого боргу та гарантованого обласною радою, міською, селищною чи сільською територіальною громадою боргу станом на кінець бюджетного періоду не може перевищувати 200 відсотків середньорічного обсягу доходів загального фонду місцевого бюджету, які надійшли за три попередні бюджетні періоди, що передують прийняттю рішення обласної, міської, селищної чи сільської ради про здійснення місцевого запозичення та/або надання місцевої гарантії, без урахування доходів, визначених пунктами 1, 1-1 частини першої статті 64, пунктом 1 частини першої статті 66 цього Кодексу, та міжбюджетних трансфертів.
У разі очікуваного перевищення цієї граничної величини місцевий фінансовий орган невідкладно звертається до відповідної обласної чи міської ради за дозволом на тимчасове перевищення такої граничної величини та подає для схвалення план заходів з приведення такого загального обсягу боргу у відповідність із положеннями цього Кодексу за умови попереднього погодження з Міністерством фінансів України.
Відповідно до частини шостої статті 74 Кодексу видатки місцевого бюджету на обслуговування місцевого боргу не можуть перевищувати 10 відсотків видатків загального фонду місцевого бюджету протягом будь-якого бюджетного періоду, коли планується обслуговування місцевого боргу.
Питання надання місцевих гарантій регулюється Кодексом і Порядком надання місцевих гарантій, затвердженим постановою Кабінету Міністрів України від 14.05.2012 р. № 541 (далі – Порядок №541).
Згідно з пунктом 15-1 статті Кодексу, гарантійне зобов'язання - зобов'язання гаранта повністю або частково виконати боргові зобов'язання суб'єкта господарювання - резидента України перед кредитором у разі невиконання таким суб'єктом його зобов'язань за кредитом (позикою), залученим під державну чи місцеву гарантію.
Умови надання державних та місцевих гарантій визначені статтею 17 Кодексу.
Державні (місцеві) гарантії надаються на умовах платності, строковості, а також забезпечення виконання зобов'язань у спосіб, передбачений законом.
Державні (місцеві) гарантії не надаються для забезпечення боргових зобов'язань суб'єктів господарювання, якщо безпосереднім джерелом повернення кредитів (позик) передбачаються кошти державного (місцевого) бюджету (крім боргових зобов'язань, що виникають внаслідок залучення кредитів (позик) від іноземних держав, іноземних фінансових установ і міжнародних фінансових організацій для реалізації інвестиційних проектів, включаючи рекредитування.
Забороняється надання державних (місцевих) гарантій суб'єкту господарювання, який має прострочену заборгованість перед державою (обласною радою чи територіальною громадою) за кредитом (позикою), залученим державою (обласною радою чи територіальною громадою) або під державну (місцеву) гарантію, за кредитом з бюджету (включаючи плату за користування такими кредитами (позиками) та пеню), іншу заборгованість з погашення раніше отриманого кредиту (позики) у фінансовій установі або податковий борг перед державним (місцевим) бюджетом.
Відповідно до частини другої статті 74 Кодексу та пункту 4 Порядку №541 обсяг та умови здійснення місцевих запозичень і надання місцевих гарантій погоджуються з Міністерством фінансів України.
Після отримання наказу Мінфіну про погодження обсягу та умов місцевого запозичення (зміни істотних умов), місцева рада під час пленарного засідання приймає рішення про здійснення місцевого запозичення.
Згідно із пунктом 9 Порядку щодо запозичень відповідна рада надсилає Мінфіну копії рішення про здійснення місцевого запозичення та про внесення змін до бюджету, яким передбачено, зокрема, внесення змін щодо місцевих запозичень (у разі подання попередньо його проекту) в десятиденний строк після прийняття цих рішень.
Надалі уповноважений представник (керівник фінансового органу) вчиняє правочин щодо залучення місцевого запозичення до місцевого бюджету (укладає кредитний договір / договір позики) відповідно до рішення про здійснення місцевого запозичення.
Процедура погодження обсягу та умов надання місцевих гарантій:
1. Погодження обсягу та умов надання місцевих гарантій регламентовано Кодексом і Порядком № 541.
Відповідно до частини другої статті 17 Кодексу місцеві гарантії можуть надаватися за рішенням:
відповідної міської, селищної, сільської ради для забезпечення повного або часткового виконання боргових зобов'язань суб'єктів господарювання - резидентів України, що належать до комунального сектору економіки міста, селища, села, розташовані на відповідній території та здійснюють на цій території реалізацію інвестиційних проектів, метою яких є розвиток комунальної інфраструктури або впровадження ресурсозберігаючих технологій;
відповідної обласної ради для забезпечення повного або часткового виконання боргових зобов'язань суб'єктів господарювання - резидентів України, що належать до комунального сектору економіки, розташовані на відповідній території та здійснюють на цій території реалізацію інвестиційних проектів, метою яких є розвиток комунальної інфраструктури, відновлення та реконструкція об'єктів спільної власності територіальних громад або державної власності, що перебувають в управлінні обласних рад, обласних державних адміністрацій, або впровадження ресурсозберігаючих технологій, а також реалізацію проектів будівництва, реконструкції, капітального ремонту автомобільних доріг загального користування державного, місцевого значення.
2. Для отримання погодження відповідно до пункту 4 Порядку №541 місцева рада надсилає Мінфіну письмове повідомлення у паперовому вигляді, до якого додає належно оформлені документи:
1) проект рішення про надання гарантії, який містить такі відомості:
Суб'єкти господарювання, щодо яких приймається рішення про надання кредитів (позик), залучених обласною радою чи територіальною громадою, або місцевих гарантій, зобов'язані надати майнове або інше забезпечення виконання зобов'язань та сплатити до відповідного місцевого бюджету плату за їх отримання у розмірі, встановленому місцевою радою, якщо інше не передбачено рішенням про місцевий бюджет.
У разі прийняття рішення про надання кредитів (позик), залучених обласною радою чи територіальною громадою, або під місцеві гарантії, суб'єктам господарювання, у віданні яких є майно комунальної власності, необхідність надання такими суб'єктами господарювання майнового забезпечення його розмір та вид визначає:
відповідна місцева рада - щодо комунального майна;
2) висновок обласної держадміністрації, виконавчого комітету місцевої ради стосовно доцільності залучення кредиту (позики) під місцеву гарантію для виконання (реалізації) інвестиційного проекту, що містить інформацію про:
Зазначену інформацію доцільно отримати з техніко-економічного обґрунтування проекту, виготовлення якого передує прийняттю рішення про доцільність залучення кредиту;
3) прогнозні графіки виплати, погашення та обслуговування:
4) розрахунки і обґрунтування надання гарантії з урахуванням вимог частини третьої статті 18 Бюджетного кодексу України (за формою, затвердженою Мінфіном).
Під час формування інформації рекомендується ретельно проаналізувати стан виконання зобов'язань, виконання яких забезпечено гарантією місцевої ради. Також важливо брати до уваги примітки до окремих позицій форми подання інформації, що містяться наприкінці форми.
Відсутність раніше здійснених запозичень та наданих місцевих гарантій не є підставою для ненадання інформації. У разі відсутності раніше здійснених запозичень та наданих місцевих гарантій рекомендується подавати підписану керівниками форму, що засвідчує відсутність таких зобов'язань;
5) розрахунок середньорічного обсягу доходів загального фонду місцевого бюджету, які надійшли за три попередніх бюджетних періоди, що передують прийняттю рішення обласної чи міської ради про надання місцевої гарантії, без урахування доходів, визначених пунктами 1 і 11 частини першої статті 64, пунктом 1 частини першої статті 66 Бюджетного кодексу України, та міжбюджетних трансфертів (за формою, затвердженою Мінфіном), та які заплановано спрямовувати на погашення основної суми місцевого боргу протягом усього періоду його погашення, а також на здійснення платежів, пов'язаних з виконанням гарантійних зобов'язань обласної ради чи міської територіальної громади, з урахуванням вимог частини п'ятнадцятої статті 17 Бюджетного кодексу України;
6) опис та вартість забезпечення виконання зобов'язань, що надаються позичальником гаранту;
7) завірені в установленому порядку копії:
8) довідки (на дату надсилання повідомлення):
про стан простроченої заборгованості суб'єкта господарювання перед обласною радою чи територіальною громадою за кредитом (позикою), залученим обласною радою чи територіальною громадою або під місцеву гарантію, за кредитом з бюджету (включаючи плату за користування такими кредитами (позиками) та пеню), іншої заборгованості з погашення раніше отриманого кредиту (позики) у фінансовій установі за підписом керівника відповідного структурного підрозділу або податкового боргу перед державним (місцевим) бюджетом (за формою, затвердженою Мінфіном).
Форму довідки про відсутність податкового боргу затверджено Порядком надання довідки про відсутність заборгованості з платежів, контроль за справлянням яких покладено на контролюючі органи (наказ Мінфіну від 03 вересня 2018 року №733).
3. Зазначені документи додатково надсилаються Мінфіну у паперовій формі здійснюється разом з електронним носієм інформації, на якому записано файли цих документів у форматі PDF та/або Microsoft Excel. Також можливе надсилання до Мінфіну документів, передбачених цим пунктом, в електронній формі у форматі PDF та/або Microsoft Excel (електронні адреси: infomf@minfin.gov.ua та localdebt@minfin.gov.ua). У темі повідомлення рекомендується зазначити назву відповідної ради (міста).
У разі надання кількох гарантій за кожною гарантією подається окреме повідомлення із додаванням усіх зазначених документів.
4. Після подання пакета документів фахівці Мінфіну, відповідно до пункту 5 Порядку щодо гарантій, здійснюватимуть їх розгляд та аналіз відповідно до повноважень, а також вимог Порядку №541.
Згідно з пунктом 5 Порядку щодо гарантій, Мінфін має право одержувати в установленому порядку додаткову інформацію, необхідну для прийняття рішення про погодження обсягу та умов надання гарантії. Мінфін у місячний строк розглядає, перевіряє повний пакет документів та приймає відповідне рішення. Зазначений строк відраховується від дати подання останнього уточненого пакета документів, поданого для розгляду.
5. За результатами розгляду та перевірки повного пакета документів Мінфін відповідно пункту 5 Порядку щодо гарантій приймає рішення про погодження обсягу та умов надання гарантії або вмотивовану відмову, які доводяться до відома місцевої ради. Документи, подані Мінфіну на погодження, заявнику не повертаються.
За наявності підстав для вмотивованої відмови Мінфіну обласна чи міська рада протягом 15 календарних днів усуває недоліки відповідно до зауважень Мінфіну. Мінфін розглядає відповідні документи протягом місяця з дати їх отримання.
У разі неотримання відповіді у встановлений строк подане заявником повідомлення про погодження обсягу та умов здійснення запозичення (реструктуризації боргових зобов'язань) залишається без розгляду.
Обсяг та умови надання місцевих гарантій для забезпечення повного або часткового виконання боргових зобов'язань суб'єктів господарювання, що виникають за кредитами (позиками), наданими міжнародними фінансовими організаціями, вважаються погодженими без зауважень, якщо Мінфіном не прийнято рішення протягом одного місяця з дня надходження документів на погодження.
До укладення правочину щодо надання місцевої гарантії обласна чи міська рада повинні отримати рішення Антимонопольного комітету у випадках, передбачених Законом України «Про державну допомогу суб'єктам господарювання». Завірена в установленому порядку копія зазначеного рішення подається Мінфіну (окремі роз’яснення див. нижче).
Розпорядження Антимонопольного комітету від 04 березня 2016 року №2-рп (далі - розпорядження №2-рп) визначає механізм, строки й порядок розгляду повідомлень про нову державну допомогу та про внесення змін до умов чинної державної допомоги.
Повідомлення про нову державну допомогу відповідно до підрозділу 1 розділу IV розпорядження №2-рп подається Антимонопольному комітету не менше ніж за 105 календарних днів до запланованої дати набрання чинності відповідним нормативно-правовим актом або рішенням надавача, що дозволяє суб'єктам господарювання отримувати нову державну допомогу.
Рекомендується одночасно надсилати пакети документів до Мінфіну для погодження надання гарантії та Антимонопольного комітету з повідомленням про нову державну допомогу.
Відповідно до роз’яснення АМКУ з питань застосування законодавства у сфері державної допомоги від 13.04.2023 № 4-рр/дд:
1. Гарантія є однією з форм, у яких може реалізовуватися державна допомога.
2. Умови, за сукупного дотримання яких підтримка суб'єкта господарювання у формі гарантії не є державною допомогою та не потребуватиме повідомлення до Комітету:
3. Гарантії, які надають державні органи, можуть вважатися державною допомогою, якщо умови їх надання не відповідають ринковим умовам.
4. Для розрахунку суми державної допомоги у формі гарантії потрібно порівняти ринкову (референтну) відсоткову ставку за кредитом, яку б сплачувало підприємство без гарантії, та фактичну відсоткову ставку, отриману шляхом застосування державної гарантії, з урахуванням будь-яких комісій, сплачених за гарантію. Якщо після такого порівняння існують підстави вважати, що ринкова відсоткова ставка без гарантії вища за відсоткову ставку за кредитом, у такому випадку зазначене фінансування надаватиме переваги отримувачу гарантії, а отже, міститиме ознаки державної допомоги.
5. З метою перевірки дотримання максимально допустимого розміру державної допомоги та встановлення інтенсивності такої державної допомоги потрібно розрахувати приведену (поточну) вартість грошового еквіваленту державної допомоги, з урахуванням дисконтування.
6. Оцінка допустимості державної допомоги у формі гарантії здійснюється відповідно до тих же критеріїв, які застосовуються до державної допомоги в інших формах, враховуючи цілі державної допомоги, категорії отримувачів, перелік витрат тощо.
Приклади визначення приналежності місцевої гарантії до державної допомоги та необхідності погодження з АМКУ надання такої гарантії.
Приклад 1: державна допомога Підприємству 1 надається у формі місцевої гарантії з метою забезпечення виконання боргових зобов'язань за кредитом міжнародної фінансової організації для реалізації інвестиційного проєкту.
Основними умовами кредиту є:
Отже, на момент розрахунку базова ставка з кредитом Підприємства 1 становить 0,22 % (на 20.02.2023).
Рейтинг підприємства є задовільним (BB), рівень застави - низькій. Отже, маржа становить 400 базисних пунктів, або 4 %.
Ринкова (референтна) ставка = базова ставка + маржа
Ринкова (референтна) ставка: 0,22 % + 4 % = 4,22 %;
Елемент державної допомоги = ринкова (референтна) ставка - фактична відсоткова ставка для гарантованої позики
Елемент державної допомоги = 4,22 % - 5 % = -0,78 %.
Враховуючи, що ринкова відсоткова ставка без гарантії нижча відсоткової ставки за кредитом, наданим Підприємству 1 (елемент державної допомоги є від'ємним), відповідно до розділу 4.2.3.4 Повідомлення Комісії щодо поняття державної допомоги, можна стверджувати, що Підприємство 1 не отримує гарантію на вигідніших умовах, ніж на ринку, і не отримує економічних переваг, а отже, така підтримка не є державною допомогою.
Приклад 2: державна допомога Підприємству 2 надається у формі місцевої гарантії з метою забезпечення виконання боргових зобов'язань за кредитом міжнародної фінансової організації для реалізації інвестиційного проєкту.
Основними умовами кредиту є:
На момент розрахунку базова ставка з кредитом Підприємства 2 становить 13,51 % (на 20.02.2023).
Рейтинг підприємства є слабким (B), рівень застави - низькій. Отже, маржа становить 650 базисних пунктів, або 6,5 %.
Ринкова (референтна) ставка = базова ставка + маржа
Ринкова (референтна) ставка: 13,51 % + 6,5 % = 20,01 %
Елемент державної допомоги = ринкова (референтна) ставка - фактична відсоткова ставка для гарантованої позики
Елемент державної допомоги = 20,01 % - 6 % = 14,01 %
Отже, за результатами порівняння ринкової відсоткової ставки за кредитом, яку б сплачувало Підприємство 2 без гарантії, та відсоткової ставки, отриманої шляхом застосування місцевої гарантії за кредитом міжнародної фінансової організації, існують підстави вважати, що є елемент державної допомоги, оскільки ринкова відсоткова ставка без гарантії вища за відсоткову ставку за кредитом шляхом отримання Підприємством 2 місцевої гарантії.
Ставка дисконтування = базова ставка + 100 базисних пунктів (1 %)
Ставка дисконтування = 13,51 % + 1 %= 14,51 %
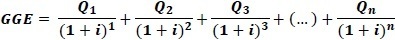
Приведену (поточну) вартість грошового еквіваленту державної допомоги Підприємству 2 за весь період надання розраховуємо за такою формулою:

GGE - приведена (поточна) вартість грошового еквіваленту державної допомоги;
Q1 - різниця між референтною ставкою та фактичною ставкою, помножена на непогашений кредит у перший рік;
Q2 - різниця між референтною ставкою та фактичною ставкою, помножена на непогашений кредит на другий рік;
Q3 - різниця між референтною ставкою та фактичною ставкою, помножена на непогашений кредит на третій рік;
Qn - різниця між референтною ставкою та фактичною ставкою, помножена на непогашений кредит у n році;
i - ставка дисконтування.
Для визначення ставки дисконтування застосовується базова ставка, яка збільшена на фіксовану маржу в 100 базисних пунктах (1 %).
|
Рік
|
Сума непогашеного кредиту
|
Річний елемент допомоги Qa
|
Фактор дисконтування (1 + i)a
|
Приведена (поточна) вартість грошового еквіваленту допомоги
|
|
(a)
|
(b)
|
(c) = (b)* елемент державної допомоги
|
(d) = (1 + ставка дисконтування) (a)
|
(e) = (c) / (d)
|
|
0
|
50000000,00
|
|
|
|
|
1
|
50000000,00
|
7005000,00
|
1,145
|
6117369,66
|
|
2
|
40000000,00
|
5604000,00
|
1,311
|
4273771,49
|
|
3
|
30000000,00
|
4203000,00
|
1,502
|
2799169,17
|
|
4
|
20000000,00
|
2802000,00
|
1,719
|
1629650,49
|
|
5
|
10000000,00
|
1401000,00
|
1,969
|
711575,62
|
|
Загалом: 15531536,43
|
||||
Отже, приведена (поточна) вартість грошового еквіваленту державної допомоги Підприємства 2 становить 15531536 грн.
Методичні рекомендації по розрахунку (додаються).
Згідно з частиною сьомою статті 74 Кодексу, відповідна обласна, міська, селищна чи сільська рада не мають права здійснювати у поточному бюджетному періоді нові місцеві запозичення та надавати місцеві гарантії, якщо у процесі здійснення платежів з погашення та обслуговування місцевого боргу та/або гарантованого місцевого боргу, обумовлених договором між кредитором та позичальником та/або правочином надання місцевої гарантії, порушено графік платежів, що призвело до нарахування будь-яких штрафних санкцій, до погашення такої простроченої заборгованості та сплати усіх нарахованих штрафних санкцій.
Якщо протягом поточного та наступного бюджетних періодів після погашення простроченої заборгованості та сплати усіх нарахованих штрафних санкцій відповідно до абзацу першого цієї частини статті допущено повторне порушення графіка платежів у процесі здійснення платежів з погашення та обслуговування місцевого боргу та/або гарантованого місцевого боргу, що призвело до нарахування будь-яких штрафних санкцій, відповідна обласна, міська, селищна чи сільська рада не мають права здійснювати нові місцеві запозичення та надавати місцеві гарантії протягом трьох наступних бюджетних періодів.
6. Відповідно до пункту 7 Порядку щодо гарантій погодження Мінфіном обсягу та умов надання місцевої гарантії не є гарантією держави щодо виконання зобов'язань позичальника, пов'язаних з наданням місцевої гарантії, і підтвердженням його кредитоспроможності.
7. Згідно з пунктом 6 Порядку щодо гарантій зміна істотних умов договору про надання місцевої гарантії підлягає погодженню в порядку, передбаченому для погодження обсягу та умов надання гарантії. При цьому можуть не подаватися документи, які вже подавалися до Мінфіну в поточному році, якщо відомості, що в них містяться, не змінилися, про що необхідно зазначити у повідомленні.
Для підготовки висновку про доцільність залучення кредиту, рішення про його затвердження, проекту рішення про надання місцевої гарантії, довідки про відсутність заборгованості рекомендується використовувати типові форми документів/бланків згідно з додатками 4 - 6 Методичних рекомендацій Мінфіну (додаються).
Відповідно до пункту 2-1 Порядку №541 правочин щодо надання місцевої гарантії (місцева гарантія або гарантійний договір) оформляється в письмовій формі та має містити:
5. Оскільки відповідно до частини першої статті 2 Кодексу гарантія покриває виключно боргові зобов'язання позичальника, до обсягу гарантії не включаються витрати на послуги юридичних радників, консалтингові послуги та витрати з оплати інших послуг, пов'язаних з отриманням кредиту позичальником.
6. Нормативно-правова база щодо надання місцевими органами влади місцевих гарантій передбачає інформування Мінфіну про здійснені правовими та формування звітності про стан місцевого гарантованого боргу.
1. Здійснення запозичень шляхом емісії облігацій внутрішніх місцевих позик відбувається після отримання наказу Мінфіну про погодження обсягу та умов запозичення з урахуванням Положення про порядок емісії облігацій внутрішніх місцевих позик та їх обігу, затвердженого Рішенням НКЦПФР від 14 червня 2018 року №391 (зі змінами) (далі - Положення про порядок емісії облігацій).
Облігації внутрішніх місцевих позик належать до групи боргових цінних паперів (підпункт 2 частини сьомої статті 8 Закону України «Про ринки капіталу та організовані товарні ринки»).
Відповідно до підпункту 3 підрозділу 1 розділу II Положення про порядок емісії облігацій рішення місцевої ради про здійснення запозичення у формі емісії облігацій внутрішньої місцевої позики має містити відомості про:
Місцева рада готує та подає до НКЦПФР (далі - реєструвальний орган):
2. Відповідно до частини восьмої статті 16 Кодексу уповноважений представник (керівник фінансового органу) вчиняє дії, пов'язані із залученням запозичення до бюджету згідно з підрозділами 1, 4 - 16 розділу II Положення про порядок емісії облігацій за такими етапами:
Обіг облігацій дозволяється після реєстрації реєструвальним органом звіту про результати емісії облігацій та видачі свідоцтва про реєстрацію випуску облігацій.
Нормативно-правова база щодо здійснення місцевими органами влади місцевих запозичень передбачає інформування Мінфіну про здійснені правочини та формування звітності про стан місцевого боргу (розділ V «Подання відомостей про здійснені місцеві запозичення та надані місцеві гарантії» Методичних рекомендацій Мінфіну (додаються).
Відповідно до статті 264 Угоди про асоціацію між Україною, з однієї сторони, та Європейським Союзом, Європейським співтовариством з атомної енергії і їхніми державами-членами, з іншої сторони (далі - Угода), сторони домовились, що вони застосовуватимуть статті 262, 263 (3) або 263 (4) Угоди з використанням як джерела тлумачення критеріїв, що випливають із застосування статей 106, 107 та 93 Договору про функціонування Європейського Союзу, зокрема відповідну судову практику Суду Європейського Союзу, а також відповідне вторинне законодавство, рамкові положення, керівні принципи та інші чинні адміністративні акти Європейського Союзу.
Повідомленням Комісії 2008/C 155/02 ЄС про застосування статей 87 та 88 ДФЄС до державної допомоги у вигляді гарантій (далі - Повідомлення ЄК щодо гарантій) встановлені основні принципи та підходи щодо оцінки державної допомоги у формі гарантій.
Згідно з пунктом 1.3 Повідомлення ЄК щодо гарантій:
«У пункті 2.1 Повідомлення ЄК щодо гарантій передбачено, що у статті 87 (1) ДФЄС зазначено, що будь-яка допомога, надана державою-членом або за рахунок державних ресурсів у будь-якій формі, яка спотворює або загрожує спотворенням конкуренції, надаючи перевагу певним підприємствам або виробництву певних товарів, оскільки впливає на торгівлю між державами-членами, несумісна із спільним ринком.
Гарантії, що надаються безпосередньо державою, а саме: центральними, регіональними чи місцевими органами влади, можуть становити державну допомогу.
Перевага державної гарантії полягає в тому, що ризик, пов'язаний із гарантією, несе держава. Такий ризик із боку держави, як правило, повинен бути відшкодований відповідною платою за надання державної (місцевої) гарантії. Якщо держава відмовилася від всієї або часткової плати за надання гарантії, це може бути вигодою для підприємства, а також є втратою доходу державного (місцевого) бюджету. Отже, навіть якщо виявиться, що держава ніколи не здійснює жодних платежів за гарантією, державна допомога все одно має місце бути відповідно до статті 87 (1) ДФЄС. Допомога вважається наданою саме в момент прийняття рішення про надання гарантії, а не тоді, коли починають здійснюватися платежі згідно з умовами договору про надання гарантій.
Відповідно до пункту 2.2 Повідомлення ЄК щодо гарантій зазвичай бенефіціар допомоги є позичальником. Як зазначено в пункті 2.1 Повідомлення ЄК щодо гарантій, ризик невиконання позичальниками умов кредитного договору зазвичай повинен бути відшкодований відповідною платою за надання державної (місцевої) гарантії. Коли позичальнику не потрібно вносити плату за надання державної (місцевої) гарантії, він отримує перевагу. Порівняно із ситуацією без гарантій державна гарантія дає змогу позичальнику отримати кращі фінансові умови позики, ніж ті, які зазвичай є на фінансових ринках. Отже, державні гарантії можуть сприяти створенню нового бізнесу та дозволяти певним підприємствам збирати гроші для здійснення нової діяльності.
Згідно з пунктом 2 статті 71 Бюджетного кодексу України погашення місцевого боргу належить до витрат бюджету розвитку місцевих бюджетів.
Відповідно до пункту 16.4. наказу Міністерства фінансів України від 23.08.2012 №938 «Про затвердження Порядку казначейського обслуговування місцевих бюджетів» повернення запозичень, залучених з метою фінансування бюджету розвитку місцевих бюджетів, здійснюється Управлінням (відділенням) Казначейства за рахунок коштів спеціального фонду місцевого бюджету. Виділення коштів на повернення запозичень здійснюється на підставі розпорядження про виділення коштів загального (спеціального) фонду місцевих бюджетів, наданого фінансовим органом у порядку, встановленому законодавством.
Для повернення запозичень, класифікацією фінансування бюджету за типом боргового зобов'язання передбачено код 402000 «Погашення». Крім того, класифікацією фінансування бюджету за типом кредитора видатки класифіковано за категоріями кредиторів або власників боргових зобов'язань. Також класифікація передбачає розмежування боргу за типом кредитора та за типом боргового зобов'язання. Тому, застосування кодів класифікації залежить від виду та сутності витрат і платежів.
Методологічні та організаційні засади здійснення контролю за ризиками, пов'язаними з управлінням місцевим боргом (бюджетний ризик, валютний, відсотковий, ризик ліквідності, ризик рефінансування), в тому числі необхідністю щорічної підготовки програми управління місцевим боргом, визначені Порядком здійснення контролю за ризиками, пов'язаними з управлінням державним (місцевим) боргом, затвердженим постановою Кабінету Міністрів України від 01 серпня 2012 року №815 (далі - Порядок здійснення контролю за ризиками).
Відповідно до пункту 6 Порядку здійснення контролю за ризиками місцевий фінансовий орган затверджує програму управління боргом на відповідний рік та оприлюднює її у місячний строк після початку відповідного бюджетного періоду в офіційному друкованому виданні органу місцевого самоврядування.
Програма управління боргом може переглядатися у разі суттєвих змін на внутрішньому ринку державних цінних паперів та/або облігацій місцевих позик і світових ринках капіталу, в макроекономічній ситуації, бюджетно-податковій, грошово-кредитній та валютній політиці, а також виникнення інших причин, які можуть значно ускладнити або унеможливити її виконання.
Положеннями пункту 3 частини першої статті 7 Кодексу передбачено, що місцеві бюджети є самостійними та держава коштами державного бюджету не несе відповідальності за бюджетні зобов'язання органів місцевого самоврядування.
Відповідно до частини четвертої статті 74 Кодексу держава не несе відповідальності за борговими зобов'язаннями обласних рад і територіальних громад.
Мінфін зі свого боку забезпечує контроль за дотриманням місцевими органами влади бюджетного законодавства, в тому числі за відповідністю здійснення місцевих запозичень та надання місцевих гарантій вимогам Кодексу.
Погашення й обслуговування місцевого боргу за місцевими запозиченнями та наданими гарантіями за рахунок коштів субвенції з державного бюджету місцевим бюджетам може призвести до відволікання коштів місцевих бюджетів в умовах необхідності проведення видатків на соціальні та інші заходи, віднесених до повноважень місцевих бюджетів, а також визначених актами законодавства та Конституцією України.
Відповідно до частини третьої статті 18 Кодексу, загальний обсяг місцевого боргу та гарантованого обласною радою, міською, селищною чи сільською територіальною громадою боргу станом на кінець бюджетного періоду не може перевищувати 200 відсотків середньорічного обсягу доходів загального фонду місцевого бюджету, які надійшли за три попередні бюджетні періоди, що передують прийняттю рішення обласної, міської, селищної чи сільської ради про здійснення місцевого запозичення та/або надання місцевої гарантії, без урахування доходів, визначених пунктами 1, 1-1 частини першої статті 64, пунктом 1 частини першої статті 66 цього Кодексу, та міжбюджетних трансфертів
У разі очікуваного перевищення цієї граничної величини місцевий фінансовий орган невідкладно звертається до відповідної обласної чи міської ради за дозволом на тимчасове перевищення такої граничної величини та подає для схвалення план заходів з приведення такого загального обсягу боргу у відповідність із положеннями цього Кодексу за умови попереднього погодження з Міністерством фінансів України.
Відповідно до частини шостої статті 74 Кодексу видатки місцевого бюджету на обслуговування місцевого боргу не можуть перевищувати 10 відсотків видатків загального фонду місцевого бюджету протягом будь-якого бюджетного періоду, коли планується обслуговування місцевого боргу..
Рівень кредитоспроможності бюджету територіальної громади залежить від впливу комерційних, фінансових та економічних умов і підтримується високим рівнем бюджетної забезпеченості, збереженням високих темпів зростання дохідної частини бюджету, диверсифікацією господарського комплексу за видами економічної діяльності, високим рівнем прозорої діяльності місцевої влади та здійсненням заходів щодо покращення надання послуг суб'єктам підприємництва та мешканцям.
Для отримання незалежного оціночного судження щодо кредитоспроможності (платоспроможності) суб'єкта рейтингування рекомендується співпрацювати з рейтинговими агентствами. Кредитний рейтинг ґрунтується на результатах аналізу економічних та фінансових показників за результатами півріччя та року, даних демографічної ситуації, стану ринку праці, інформації щодо боргових зобов'язань, наявності у розпорядженні комунальної власності та перспективних планів на майбутнє.
З метою забезпечення дотримання граничних обсягів місцевого боргу та місцевих гарантій Мінфін відповідно до частини четвертої статті 18 Кодексу веде Реєстр місцевих запозичень та місцевих гарантій (далі - Реєстр).
Реєстр є інформаційною системою, що містить відомості про здійснені місцеві запозичення та надані місцеві гарантії. Реєстр публікується щомісяця на офіційному вебсайті Мінфіну в розділі «Діяльність / Боргова політика / Боргова статистика / Місцевий борг та місцевий гарантований борг».
Для формування даних Реєстру відповідно до вимог частини третьої статті 74 Кодексу Мінфін здійснює реєстрацію місцевих запозичень та місцевих гарантій.
Для здійснення Мінфіном реєстрації здійснених місцевих запозичень та наданих місцевих гарантій місцева рада із супровідним листом подає до Мінфіну відповідні копії договорів, копії рішень та інформацію, необхідну для внесення до Реєстру, відповідно до Порядку ведення Реєстру місцевих запозичень та місцевих гарантій, затвердженого наказом Мінфіну від 25 липня 2012 року №866 (далі - Порядок ведення Реєстру).
У разі нездійснення запозичення або неукладення відповідної угоди в поточному бюджетному періоді наказ Мінфіну про погодження обсягу та умов запозичення або надання місцевої гарантії втрачає чинність у зв'язку із завершенням бюджетного періоду відповідно до статті 3 Кодексу. Рекомендується місцевому фінансовому органу повідомляти про це Мінфін у десятиденний строк після завершення бюджетного періоду.
За повторним погодженням обсягу та умов запозичень або надання місцевих гарантій обласним/міським радам доцільно звертатися до Мінфіну з оновленим пакетом документів у наступному бюджетному періоді.
У разі розірвання кредитного договору, укладеного між позичальником та кредитором, місцевому фінансовому органу рекомендується повідомити Мінфін у десятиденний строк після такого розірвання.
У разі повного виконання умов договору місцевому фінансовому органу рекомендується повідомляти Мінфін у місячний строк після такого виконання. До повідомлення доцільно додати лист-підтвердження кредитора.
Документи надсилаються до Мінфіну в паперовому вигляді та електронній формі у форматах PDF (належної якості) та Microsoft (електронні адреси: infomf@minfin.gov.ua та localdebt@minfin.gov.ua). У темі повідомлення рекомендується зазначити назву відповідної ради (міста).
Щодо місцевих запозичень
1. Інформація Мінфіну про здійснені запозичення подається у такі строки:
завірена копія договору позики (кредитного договору) - у десятиденний строк після його підписання;
завірена копія затвердженого проспекту емісії облігацій місцевих позик (у разі його оформлення) та/або рішення про емісію облігацій місцевих позик - у десятиденний строк після реєстрації;
інформацію про отримання коштів або здійснення платежів з погашення / обслуговування місцевого запозичення - у десятиденний строк після їх здійснення.
Зміни, внесені до істотних умов таких договорів, також подаються до Мінфіну у десятиденний строк після їх внесення.
2. Під час формування додатка 1 «Інформація про валютно-фінансові умови місцевого запозичення / місцевої гарантії» до Порядку ведення Реєстру рядки 24 - 27 (про фактично надану гарантію) доцільно не заповнювати.
Додаток 1 до Порядку ведення Реєстру рекомендовано подавати один раз разом із завіреною копією кредитної угоди та у разі внесення змін до валютно-фінансових умов.
3. Додатки 1, 2 до Порядку ведення Реєстру доцільно формувати та подавати за кожною угодою окремо.
4. Додаток 2 «Графіки планових та фактичних надходжень коштів за місцевим запозиченням та місцевою гарантією (всі надходження)», у тому числі «Графіки планових та фактичних платежів за місцевим запозиченням та місцевою гарантією (всі платежі)», до Порядку ведення Реєстру рекомендується подавати із зазначенням назви угоди, кредитора, дати та номера угоди у заголовку таблиці.
Під час заповнення додатка 2 рекомендується:
Графіки, що надаються відповідно до додатка 2 до Порядку ведення Реєстру, в обов'язковому порядку мають містити інформацію про планові надходження та планові платежі на весь період дії кредитної угоди.
Щодо наданих місцевих гарантій
1. У десятиденний строк після укладення подаються до Мінфіну завірені в установленому порядку копії:
Зміни, внесені до істотних умов таких договорів, також подаються до Мінфіну у десятиденний строк після їх внесення.
2. У разі неукладення правочину щодо надання місцевої гарантії рекомендуємо повідомляти про це Мінфін у десятиденний строк після завершення бюджетного періоду.
3. Під час формування додатка 1 «Інформація про валютно-фінансові умови місцевого запозичення / місцевої гарантії» до Порядку ведення Реєстру рядки 21, 22 доцільно не заповнювати.
Додаток 1 до Порядку ведення Реєстру рекомендується подавати один раз разом із завіреними копіями договорів та у разі внесення змін до валютно-фінансових умов.
4. Додатки 1, 2 до Порядку ведення Реєстру доцільно формувати та подавати за кожною угодою окремо.
Додаток 2 до Порядку ведення Реєстру рекомендується подавати із зазначенням назви угоди, кредитора, дати та номера угоди.
Під час заповнення додатка 2 рекомендується:
Графіки, що надаються відповідно до додатка 2 до Порядку ведення Реєстру, в обов'язковому порядку мають містити інформацію про планові надходження та планові платежі на весь період дії кредитної угоди.
Інфографіка пов’язаних документів

Приєднані файли:
Теги:
бюджет бюджет методика Ігор Онищук
Джерело:
Портал "Децентралізація"
28 квітня 2026
Зміна «обсягу» освітньої діяльності ліцеїв: просто про складне з законодавчим підґрунтям
Зміна «обсягу» освітньої діяльності ліцеїв:...
Реформа профільної середньої освіти актуалізує для громад практичні питання: як коректно діяти у випадках припинення...
28 квітня 2026
Анонс: вебінар «Як «працює» узуфрукт і кому він вигідний?»
Анонс: вебінар «Як «працює» узуфрукт і кому він...
До участі запрошуємо керівників органів управління освітою територіальних громад, керівників закладів освіти та...
27 квітня 2026
Вебінар EU Local Talks #4: нова логіка...
Представників органів місцевого самоврядування, регіональних органів влади та агенцій регіонального розвитку...
27 квітня 2026
В Олешках – голод. У заблокованому місті голодують близько 1,7 тисяч українців, серед яких 47 дітей
В Олешках – голод. У заблокованому місті...
Начальниця Олешківської військової адміністрації Тетяна Гасаненко про російську блокаду Олешок, що може стати...